1.Soil carbon availability drives depth-dependent responses of microbial nitrogen use efficiency to warming
微生物氮利用效率(NUE)描述了有机氮在微生物生长和氮矿化之间的分配,这对于评估土壤氮保留至关重要。然而,增温如何影响土壤深度上的NUE尚不清楚。基于青藏高原全土壤剖面增温实验(0‒100 cm,+4 ℃),结合18O和15N同位素标记技术,我们测定了土壤碳(C)组成、土壤性质和微生物参数。结果表明,在对照和增温处理中,NUE随土壤深度增加而降低,这是由于微生物C的限制。NUE对增温的响应因土壤深度而异。增温降低了表层土壤(0‒30 cm)微生物N的生长,最终导致NUE降低,但对深层土壤(30‒100 cm)没有影响。总之,这些发现强调了气候变暖可能会加剧表层土壤中的氮流失,而维持微生物碳和氮的可用性可能是在气候变暖条件下维持微生物氮封存的关键策略。
研究成果以“Soil carbon availability drives depth-dependent responses of microbial nitrogen use efficiency to warming”为题于2025年9月在线发表于Global Change Biology期刊(IF=12.0/Q1)。我院张秋芳副研究员为第一作者,陈岳民研究员为合作作者,北京大学城市与环境学院的朱彪研究员为通讯作者。
原文链接:
Zhang, Q.F., Qin, W.K., Li, X.J., Feng, J.Q., Chen Y.M., Zhang, Z.H., He, J.S., Richter, A., Schime, J.P., Zhu, B. Soil carbon availability drives depth-dependent responses of microbial nitrogen use efficiency to warming. Global Chang biology, 2025, 31: e70490. https://doi.org/10.1111/gcb.70490


2.Nitrogen-driven shifts in molecular composition of soil dissolved organic matter linked to rare bacterial sub-communities
土壤溶解性有机质(DOM)与细菌群落之间的相互作用对于理解全球碳循环的关键过程至关重要。然而,这些组分之间的分子水平关联仍知之甚少。为了填补这一空白,本研究结合高分辨率傅里叶变换离子回旋共振质谱(FT-ICR MS)和高通量测序,研究了DOM组成和细菌亚群落多样性对不同氮(N)添加水平(0、40和80 kg N ha−1 yr−1)的响应,并探索了它们之间的关系。结果表明,在低氮条件下,DOM中的碳水化合物分子显著减少。相反,DOM分子的β多样性和双键当量增加,表明在这种处理下DOM组成的异质性和稳定性更强。与丰富的类群相比,稀有的细菌亚群落对氮添加更敏感,表现出更窄的生态位和更弱的系统发育信号。β多样性分解分析表明,丰度类群的组成差异主要受丰富度差异驱动,而稀有类群的组成差异主要受物种替代的影响。共现网络分析表明,DOM分子与稀有类群的关联频率高于与丰度类群的关联频率。此外,在氮浓度梯度上,稀有类群的β多样性与DOM分子的β多样性呈显著正相关。这些发现强调,稀有细菌亚群落是氮富集条件下DOM分子组成变化的主要驱动因素,并强调了它们在塑造化学多样性方面的潜在作用。
研究成果以“Nitrogen-driven shifts in molecular composition of soil dissolved organic matter linked to rare bacterial sub-communities”为题于2024年12月在线发表于Science of the Total Environment期刊(IF=8.0/Q2)。我院博士生、武夷学院副教授元晓春和博士生、北京大学城市与环境学院博士后曾泉鑫为共同第一作者,陈岳民研究员为通讯作者。
原文链接:
Yuan X.C., Zeng, Q.X., Bai, X.Y., Zhang, X.Q., Fu, X.T., Ren, M.X., Cui, J.Y., Zhang, Q.F., Gao, X.L., Zhou, J.C., Zheng Y., Lin, K.M., Chen Y.M. Nitrogen-driven shifts in molecular composition of soil dissolved organic matter linked to rare bacterial sub-communities. Science of the Total Environment, 2025, 958, 178145. https://doi.org/10.1016/j.scitotenv.2024.178145


3.Increasing phosphorus availability reduces priming effect by facilitating microbial carbon use efficiency in a subtropical forest soil
磷(P)有效性调控不同质量落叶凋落物添加引起的激发效应(PE)的机制尚不清楚。本研究以亚热带马尾松林为研究对象,分别添加含/不含P和/或高质量和低质量13C标记落叶凋落物。然后将样品在实验室中培养75 d,以评估PE、微生物群落组成、酶活性和微生物碳利用效率(CUE)。结果表明,添加落叶凋落物导致正PE。高质量的落叶凋落物输入刺激了微生物活性,但降低了微生物CUE,从而提高了PE强度。相反,PE随着P的添加而降低。这一发现表明,获取P的策略(例如微生物分解土壤有机质)可能会减少。随机森林分析表明,微生物CUE是调节PE的主要因素,解释了PE变异的62%,并且对PE表现出负向影响。总的来说,我们的研究结果强调了P的可用性通过减少微生物分解和增加CUE来调节PE,突出了其在碳气候反馈中的重要作用。
研究成果以“Increasing phosphorus availability reduces priming effect by facilitating microbial carbon use efficiency in a subtropical forest soil”为题于2025年3月在线发表于Biology and Fertility of Soils期刊(IF=5.1/Q2)。我院博士生、北京大学城市与环境学院博士后曾泉鑫为第一作者,张秋芳副研究员与陈岳民研究员为共同通讯作者。
原文链接:
Zeng Q.X.,Zhang, Q.F., Mei, K.G., Feng, J.Q., Yuan, X.C., Liu, Y.Y., Xu, M., Sun, H., Zhu, B., Chen Y.M. Increasing phosphorus availability reduces priming effect by facilitating microbial carbon use efficiency in a subtropical forest soil. Biology and Fertility of Soils, 2025, 61: 909–923. https://doi.org/10.1007/s00374-025-01906-4


4.Microbial phosphorus demand affects carbon-degrading potential under long-term nitrogen addition in a subtropical forest
热带和亚热带森林储存了全球三分之一以上的土壤碳(C),对全球气候反馈产生重大影响。然而,这些生态系统中低磷(P)有效性和微生物磷缺乏是否会限制土壤有机碳(SOC)的封存仍不清楚。本研究以亚热带毛竹林为研究对象,探究了8‒9年氮(N)添加对SOC含量及其微生物机制的影响。我们观察到,长期氮添加降低了微生物残体碳(MNC)和SOC含量,同时增加了微生物对磷的需求,这由磷循环基因和磷酸酶活性的变化所证实。与磷循环相关的基因和酶被确定为SOC含量的重要驱动因素。结构方程模型进一步表明,氮添加诱导的微生物对磷的需求增加会对SOC含量产生负面影响。这种影响既有直接的,也有间接的,后者通过促进微生物对碳的需求,进而对MNC和SOC含量产生负面影响。总之,我们的研究结果表明微生物磷缺乏对SOC储存有害,为通过微生物机制耦合土壤碳和磷循环提供了新的视角。
研究成果以“Microbial phosphorus demand affects carbon-degrading potential under long-term nitrogen addition in a subtropical forest”为题于2025年5月在线发表于Applied Soil Ecology期刊(IF=5.0/Q2)。我院2025级硕士生陈琳娜和博士生、北京大学城市与环境学院博士后曾泉鑫为共同第一作者,张秋芳副研究员与陈岳民研究员为共同通讯作者。
原文链接:
Chen L.N., Zeng, Q.X.,Zhang, Q.F., Zhu, B., Fan, Y.X., Yuan, X.C., Chen Y.M. Microbial phosphorus demand affects carbon-degrading potential under long-term nitrogen addition in a subtropical forest. Applied Soil Ecology, 2025, 211, 106154.https://doi.org/10.1016/j.apsoil.2025.106154


5.Warming reduces soil priming effects in a subtropical forest regardless of soil depth and carbon input amount
土壤激发效应(PE)对于理解全球变化下土壤有机碳(C)动态至关重要,但增温和土壤深度碳输入水平的综合影响仍不清楚。我们对杉木森林土壤进行了100天的培养实验,以检查PE对增温(环境温度 vs. 环境温度 + 5 ℃)和葡萄糖输入水平(低 vs. 高;3 vs. 5
微生物生物量C)的响应。结果表明,在表土(0‒10 cm)中,低和高碳输入量下增温使PE降低了40%和4%,在底土(30‒40 cm)中则降低了70%和59%,这可能是由于微生物适应或土壤资源枯竭造成的。此外,常温下,较高的碳输入量使表层土壤和底土的PE分别增加了43%和42%,而增温条件下则分别增加了65%和58%,这可能是微生物氮挖掘的结果。无论碳输入量如何,表层土壤的PE始终高于底土。这归因于表层土壤中可提取有机碳含量较高,这支持了更高的微生物活性,从而增强了碳矿化和PE。在持续的气候变化下,增温对PE的负面影响以及高碳输入对PE的正面影响可能有益于土壤有机碳储量。
研究成果以“Warming reduces soil priming effects in a subtropical forest regardless of soil depth and carbon input amount”为题于2025年9月在线发表于Plant and soil期刊(IF=3.9/Q2)。我院2023级硕士生柏欣宇为第一作者,张秋芳副研究员与陈岳民研究员为共同通讯作者。
原文链接:
Bai, X.Y., Zhang, Q.F., Feng, J.Q., Wu, X.X., Zeng, Q.X., Zhang, X.Q., Yuan X.C., Ni, X.Y., Chen Y.M. Warming reduces soil priming effects in a subtropical forest regardless of soil depth and carbon input amount. Plant and Soil, 2025.https://doi. org/10.1007/s11104-025-07849-x.


6.Parallel patterns of microbial carbon and nitrogen use efficiency in response to nitrogen addition across soil depths in a Castanopsis faberi forest
微生物碳利用效率(CUE)和氮利用效率(NUE)是决定土壤碳(C)和氮(N)归宿的关键参数。然而,不同土层中微生物CUE和NUE对氮沉降的响应尚不明确。本研究以罗浮栲(Castanopsis faberi)林为对象,通过氮添加试验,采集表层(0–10 cm)和亚表层(20–30 cm)土壤样品,探讨不同土层微生物CUE和NUE对氮添加的响应,并测定土壤碳组分、微生物生物量、酶活性及微生物群落组成等指标。结果显示,微生物CUE与NUE呈显著正相关,揭示了碳氮代谢的耦合关系。氮添加降低了表层和亚表层土壤的CUE和NUE,但在亚表层土壤中的负效应较弱。氮添加显著改变了土壤不同碳组分的积累:在表层土壤中,氮添加增加了易降解碳和颗粒态有机碳含量,而在亚表层土壤中,氮添加减少了矿物结合态有机碳和难降解碳含量。微生物CUE和NUE与土壤碳组分含量显著相关。与表层相比,亚表层土壤的CUE、NUE和可溶性有机碳含量较低,但C/N比更高,表明不同土层CUE和NUE的差异同时受碳数量和质量的调控。本研究揭示了氮添加对微生物资源利用效率的一致负效应及其对土层的依赖性,为深入理解森林生态系统碳氮耦合过程提供了新见解。
研究成果以“Parallel patterns of microbial carbon and nitrogen use efficiency in response to nitrogen addition across soil depths in a Castanopsis faberi forest”为题发表于Journal of Plant Ecology期刊(IF=3.9/Q1)。我院2024级硕士生林雅萍为第一作者,张秋芳副研究员与陈岳民研究员为共同通讯作者。


本科生成果
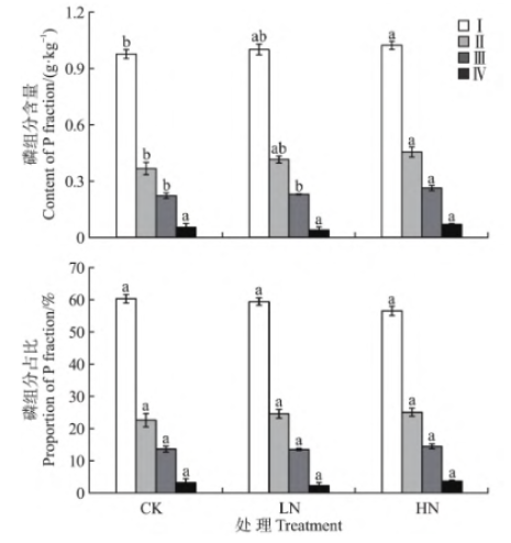
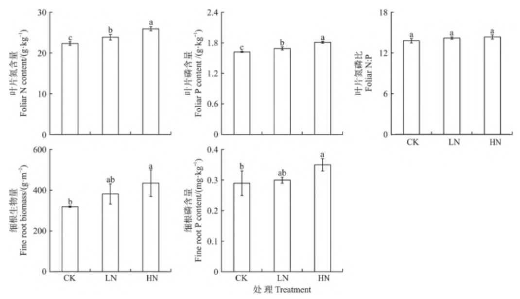
1.长期氮添加促进毛竹根系磷吸收
本研究在亚热带天然毛竹林开展野外氮添加试验,以硝酸铵为氮源,设置3个氮添加水平:0、20和80 kg N·hm −2a −1,分别对应对照组、低氮处理和高氮处理。在试验的第9年采集表层(0 ~ 15 cm)土壤和毛竹样品,测定土壤基本化学性质、微生物群落组成、酸性磷酸酶活性、叶片氮和磷含量、叶片磷组分、细根生物量和磷含量,分析氮添加对毛竹磷利用策略和磷获取策略的影响及其与环境因子的关系。结果表明:低氮和高氮添加均显著提高了叶片氮和磷含量,导致叶片氮磷比没有显著变化。与对照相比,仅高氮添加显著提高了叶片代谢磷、核酸磷和结构磷含量,但未改变各磷组分的占比。低氮和高氮添加下土壤有效磷含量和细根磷含量平均显著提高了31.4%和28.9%,但土壤有机磷含量显著降低了28.2%。细根磷含量与细根生物量、土壤丛枝菌根真菌丰度和有效磷含量均存在显著正相关关系。综上,长期氮添加通过增加地下碳分配来提高毛竹根系的磷吸收。
研究成果以“长期氮添加促进毛竹根系磷吸收”为题于2025年8月发表于应用生态学报。我院2023级本科生陈姜帆为第一作者,我院博士生、北京大学城市与环境学院博士后曾泉鑫为通讯作者。
原文链接:
陈姜帆, 张秋芳, 张晓晴, 陈琳娜, 元晓春, 徐建国, 曾泉鑫, 陈岳民. 长期氮添加促进毛竹根系磷吸收. 应用生态学报, 2025, 36(8): 2317-2324. DOI: 10.13287/j.1001-9332.202508.002.


2.生态化学计量不平衡驱动高寒草甸土壤细菌群落对氮添加的响应
氮是草地生态系统生产力的主要限制性养分,可通过改变土壤性质间接作用于微生物群落结构,特别是细菌群落。本研究在青藏高原东北部的海北高寒草甸开展野外氮添加试验,以尿素为氮源,设置了5个氮添加水平:N0(对照,无氮添加)、N50(50 kg N hm−2 a−1)、N100(100 kg N hm−2 a−1)、N150(150 kg N hm−2 a−1)和N200(150 kg N hm−2 a−1)。在试验的第3年采集表层土壤样品,测定其理化性质、稳定同位素δ15N和微生物生物量,计算微生物化学计量不平衡性,并通过16S rRNA高通量测序分析细菌群落特征(组成、多样性和群落构建)沿氮添加水平的变化。通过相关性分析、非度量多维尺度分析以及基于系统发育的二元零模型分析,探究土壤细菌群落变化的驱动机制和群落构建过程。结果表明:1)氮添加显著影响草甸土壤细菌的群落组成,但是土壤细菌α多样性没有显著变化;2)与对照相比,氮添加使土壤无机氮含量显著增加了85.7%,碳:氮化学计量不平衡性降低了40.6%,且其与细菌群落组成和优势菌门(拟杆菌门)的相对丰度显著相关,表明细菌类群受土壤有效氮及其引起的化学计量不平衡的显著影响;3)所有处理中细菌群落构建的随机性过程(54.7%~56.8%)均占据优势地位,但是氮添加对细菌群落构建过程无明显影响。综上,土壤有效氮及其引起的化学计量不平衡是调控氮添加下细菌类群相对丰度的主要因素,本研究为预测未来环境变化背景下高寒草地土壤微生物群落的变化提供了科学依据。
研究成果以“生态化学计量不平衡驱动高寒草甸土壤细菌群落对氮添加的响应”为题于2025年4月发表于应用生态学报。我院2022级本科生连晨星为第一作者,张秋芳副研究员为通讯作者。
原文链接:
连晨星, 张秋芳, 任飞, 李兰平, 陈静琪, 曾泉鑫, 陈岳民, 朱彪. 生态化学计量不平衡驱动高寒草甸土壤细菌群落对氮添加的响应. 应用生态学报, 2025, 36(4): 1081-1090. DOI: 10.13287/j.1001-9332.202504.018.


3.微生物碳氮不平衡影响罗浮栲林土壤微生物氮利用效率对氮富集的响应
微生物氮利用效率(NUE)描述了微生物用于生长的氮相对于吸收的总有机氮的比例,是调节土壤氮循环的重要参数。18O-H2O法和生态酶化学计量模型广泛应用于估计微生物NUE。然而,目前关于氮富集对森林土壤微生物NUE影响的研究仍不充分,这会影响土壤氮供应的准确预测。该研究以亚热带罗浮栲(Castanopsis faberi)林土壤为研究对象,通过施加尿素模拟大气氮沉降,设置对照(CK, 0 kg N hm−2 a−1)、低氮(LN, 40 kg N hm−2 a−1)和高氮(HN, 80 kg N hm−2 a−1) 3个处理,使用18O-H2O法和生态酶化学计量模型,比较不同氮富集水平下土壤微生物NUE的差异。同时还测定了土壤理化性质、微生物生物量、胞外酶活性、化学计量不平衡等,以期探究调控微生物NUE对氮富集响应的因子。结果表明,不同方法得到的微生物NUE均随着氮富集的增加而降低。不同氮处理的矢量角度值均大于55°,这表明本研究区土壤微生物整体上受到磷限制,但氮富集并没有加剧该样地土壤微生物受到磷限制。相反,氮富集对微生物碳氮不平衡具有显著的负效应,且微生物NUE与微生物碳氮不平衡呈显著的正相关关系。综上,氮富集可能不利于亚热带森林土壤氮储存。为改善这一现状,建议进一步调控土壤生态化学计量平衡。
研究成果以“微生物碳氮不平衡影响罗浮栲林土壤微生物氮利用效率对氮富集的响应”为题于2025年8月发表于植物生态学报。我院2022级本科生皮惠之为第一作者,张秋芳副研究员为通讯作者。
原文链接:
皮惠之, 张秋芳, 孙浩, 曾泉鑫, 彭圆珍, 元晓春, 徐建国, 陈岳民. 微生物碳氮不平衡影响罗浮栲林土壤微生物氮利用效率对氮富集的响应. 植物生态学报. 2025, 1-13. https://link.cnki.net/urlid/11.3397.Q.20250829.0930.006.

