反硝化被广泛认为是亚热带森林土壤氧化亚氮(N2O)排放的主要过程,长期以来,携带亚硝酸盐还原基因(如nirK 和 nirS)的细菌被视为反硝化作用的主导者。然而,近年来研究逐渐表明,真菌也通过异养反硝化过程在土壤 N2O排放中扮演着重要角色。尤其值得关注的是,由于多数真菌缺乏编码 N2O还原酶的nosZ基因,其反硝化终产物往往停留在 N2O,使真菌成为该温室气体的重要生物源。
尽管如此,现有亚热带森林土壤反硝化研究大多集中于细菌过程,对真菌反硝化的认识仍相对有限。为填补这一知识空白,我院土壤生态学团队联合福建三明森林生态系统国家野外科学观测研究站,采集了福建省9个典型国有林场的杉木林土壤样品,系统评估了省域尺度真菌反硝化功能基因FnirK的丰度分布特征及其主要环境驱动因子。在此基础上,进一步借助长期定位观测平台,探讨了模拟干旱、氮沉降及其交互作用对细菌与真菌反硝化基因丰度的影响。
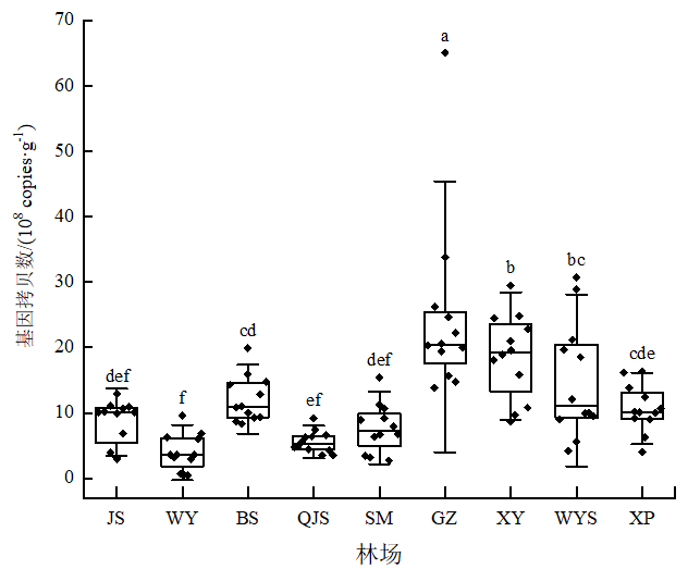
研究发现,福建省杉木人工林土壤FnirK基因丰度存在显著空间异质性,其中三明市沙县官庄林场最高,龙岩市漳平五一林场最低。土壤pH是调控FnirK丰度的关键因子。长期模拟试验结果表明,氮沉降在冬季显著降低了真菌与细菌nirK基因丰度,并在夏季减少了细菌nirS丰度;降水减少进一步抑制了冬季细菌nirK与nirS的丰度,但对真菌nirK无显著影响。此外,季节变化也塑造了反硝化基因的丰度格局:真菌nirK在冬季更为丰富,细菌nirK在夏季较高,而细菌nirS表现出较强的季节稳定性。
本研究揭示了细菌与真菌反硝化微生物对气候变化因子(如氮沉降和降水减少)及季节动态的差异化响应,强调在构建土壤 N2O排放模型和制定亚热带森林生态系统的科学管理策略时,应同时纳入细菌与真菌两个关键功能群体的生态作用。这些发现不仅丰富了土壤反硝化机制的理论认知,也为提升温室气体排放预测准确性和碳氮循环调控提供了重要支撑。
以上研究成果分别以“Distinct responses of fungal and bacterial denitrification genes to seasonal changes, nitrogen deposition and precipitation reduction in subtropical forest soils”为题发表于Applied Soil Ecology和以“福建省杉木人工林土壤真菌反硝化功能基因丰度特征及其环境影响因子”为题发表于《生态学杂志》。我院2022级生态学本科生陈琦润为第一作者,林永新研究员为通讯作者,主要合作作者包括吕茂奎副研究员和郑勇研究员。该研究得到了国家自然科学基金和福建省优秀青年科学基金资助。
原文链接:
https://www.sciencedirect.com/science/article/pii/S0929139325004603

图1 福建省杉木人工林土壤FnirK基因丰度

图2 细菌和真菌反硝化功能基因丰度及其对模拟干旱、氮沉降的响应
